Document Type : Research Paper

Author

Abstract

Lactuca serriole. L. is commonly used traditionally as medicine for the therapeutical purposes of different conditions, including digestive, respiratory, and other conditions regardless of its neurotoxicity. Therefore, the study was undertaken to estimate the effect of the alcoholic extract Lactuca serriola. L. on brain and behavior. Thirty male rats were used. The rodents were divided into five groups: the first group without treatment; the second, third, fourth, and fifth group received dosages of 100, 200, 400, and 800 mg/kg b. w. of Lactuca extract via oral administration, respectively for fourteen days. The record of behavioral data was started after allowing the rats to explore freely for 10 minutes. To collect the data, the scan sampling method was used at one-minute intervals for twenty-eight hours in fourteen consecutive days, morning one hour and evening one hour. The effect of time on the behaviors was also evaluated. Results revealed that the dosages of 100, 200, and 400 mg/kg b. w. decreased running (walking) and climbing behaviors, on the other hand, improved rearing, paws licking, and grooming behaviors which indicates reduced stress in the rats. The dose of 800 mg/kg b. w. increased immobility and immobile sniffing, which affected the mood and central nervous system of the rats, especially the brain. Time also affected on behavioral components of all groups especially group 5. The study results suggest the range of phenolic dosages (100-400 mg per kg body weight) of Lactuca are harmless to use in animals experimentally without any toxicity and behavioral changes.

Keywords

Article Title [العربیة]

تأثير لنبات Lactuca serriola L. (خَسّ الزَّيْت) على التغيرات العصبية السلوكية في جرزان ,,,,,,,,,,

Abstract [العربیة]

يستخدم Lactuca serriole. L. على نطاق واسع كدواء تقليدي في علاج مجموعة متنوعة من الأمراض، بما في ذلك الجهاز الهضمي والجهاز التنفسي وغيرها من الحالات بغض النظر عن سميتها العصبية. لذلك، تم تصميم الدراسة الحالية لتقييم تأثير المستخلص الكحولي Lactuca terrible. L على الدماغ والسلوك. تم استخدام ثلاثين فأرًا ذكرًا وتقسيمهم إلى خمس مجموعات: المجموعة 1 (مجموعة التحكم السلبية) بدون علاج؛ تلقت المجموعات 2 و3 و4 و5 (مجموعات العلاج) جرعات 100 و200 و400 و800 ملغم/ كغم / وزن الجسم من مستخلص Lactuca عن طريق التجريع (التغذية الأنبوبية )عن طريق الفم، على التوالي لمدة أربعة عشر يومًا. سُمح للجرزان بالاستكشاف (الحركة) بحرية لمدة 10 دقائق، ثم بدأ تسجيل السلوكيات. تم جمع البيانات السلوكية من خلال أخذ عينات المسح على فترات زمنية مدتها دقيقة واحدة لمدة 28 ساعة خلال 14 يومًا متتاليًا، ساعة واحدة في الصباح وساعة واحدة في المساء . كما تم تقييم تأثير الوقت على السلوكيات. وكشفت النتائج أن جرعات 100 و200 و400 ملغم/كجم من وزن الجسم أدت إلى انخفاض سلوك الجري (المشي) والتسلق بالإضافة إلى تحسن سلوك الوقوف على القدمين ولحس الاطراف الأمامية والخلفية وسلوكيات العناية بالوجه والجسم مما يشير إلى انخفاض التوتر لدى الفئران. كما أدت جرعة 800 ملغم/كجم من وزن الجسم إلى زيادة سلوكيات الشم والثبات مما أثر على الحالة المزاجية والجهاز العصبي المركزي للفئران. كما أثر الوقت على المكونات السلوكية لجميع المجموعات وخاصة المجموعة 5. وقد تقدم هذه النتائج رؤى جديدة في نطاق الجرعات الفينولية (100-400 ملغم/كجم من وزن الجسم) من Lactuca والتي تعتبر آمنة للاستخدام في الحيوانات التجريبية دون أي سمية أو تغييرات سلوكية.

Keywords [العربیة]

  • السلوك
  • (خَسّ الزَّيْت)
  • السمية العصبية
  • منطقة شاربازير

Introduction

People are currently and mostly using certain types of plants, vegetables, and fruits as alternative ways of synthetic medicines to treat, prevent, or delay the beginning of most diseases without considering their used amount in terms of side effects and toxicity (1 , 2) . Studies demonstrated that natural remedies displayed higher safety profiles and greater efficacy levels than synthetic drugs. In addition, most medicinal plants are inexpensive and easily available (3) . According to WHO, herbal remedies are used by sixty percent of the world's population, particularly in developing countries, where 80 percent of the world's population relies on herbal therapies for fundamental health care. Furthermore, phytocompounds and their chemical analogs offer an abundance of therapeutics in the treatment of both acute and chronic diseases (4 , 5) .

Among the medicinal plants, Lactuca serriola L. (L. serriola) is recognized for its therapeutic value (6) . L. serriola, also called prickly lettuce, jagged lettuce, Kahu, and Khas, belongs to the family of Asteraceae. The plant is an annual herb generally distributed in a temperate climate in Europe and Asia. It has light green, round, erect, and prickly stems that hold pinnately lobed leaves with few dentate margins (7) . Lupeol, lupeol acetate, germinol, alpha and beta amyrin, and different oleanans are significant chemicals detected in L. serriola (8) . Moreover, phytochemical screening of the plant detected lactucone, lactucic acids, vitamins, beta-carotene, iron, alkaloids, oxalic acid, lactucopicrin, sesquiterpene esters, and phenolic contents (9) .

L. serriola is used for several reasons, including helping to clear mucus, calming nerves, reducing coughing, promoting sleep, increasing urine production, relaxing blood vessels, easing spasms, fighting infections, and soothing irritation. It's also used to treat bronchitis, headaches, certain eye conditions, and more. (10) . The milky liquid found in the plant contains a substance "lactucarium" used as an antispasmodic and narcotic. The plant is also used in tradition to treat hyperactivity in children, anxiety, and insomnia. Furthermore, it was pharmacologically demonstrated the antioxidant, hepatoprotective, anti-inflammatory, and anti-carcinogenic effects (11). Based on the widely used L. serriola and its different significant effects reported in traditional medicine, it was planned to determine the plant's effect on neurobehavioral activities.

Materials and methods

Plant collection

The plants were gathered from the Sharbazher district in Sulaimani, Iraq, in March and April 2022. The Botany Department of ' 'Agriculture's College of Sulaimani University/Iraq confirmed the specimens.

Extract preparation

After harvesting L. serriola and collecting its aerial component, leaves and stems were chopped and dried at room temperature for two weeks. A coarse powder was made by grinding the dried section of L. serriola, and then stored in a glass bottle. The amount of prepared raw material was 350 g. The maceration technique was used to extract the coarse powder of the dried plant. An aqueous methanol solvent %70 was used to soak the powder for 1 hour and then passed through muslin fabric. This procedure was performed at least three times, then placed in a refrigerator in an amber reagent container for two weeks. After using a rotary evaporator and drying in an incubator, the filtrate was stored in tightly packed cellophane bags (12) .

Animal model and experimental design

Thirty male rats (Sprague-Dawley) were used in this study, and their weight was between 100 and 150 g. A controlled environment in terms of light and temperature was used to house the rats. The rats were allowed free access to tap water and had regular feeding. The College of Veterinary Medicine at the University of Sulaimani's Ethics Committee granted its ethical permission for the experiment conducted by the Guide for the Care and Use of Laboratory Animals (No: 030517). Animals were randomly divided into five groups, six rats each. They were fast for an entire night. The treated group of G2, G3, G4, and G5 received extract at 100, 200, 400, and 800 mg/kg b dosages. w. via gavage needle, respectively, whereas the control negative group G1 (n=6) received distilled water. In one ml of distilled water, the extracts were dissolved. The treatment was orally administered to the rats in groups 2, 3, 4, and 5 for 14 days, which included two consecutive days of treatment and one day of rest (two days of treatment and one day in between).

Clinical observations

Throughout the 14-day experiment, the animals were examined twice daily for any indications of acute toxicity, including tremors, sedation, ataxia, convulsions, hypnosis, spasm, diarrhea, itching, hair loss, mortality, and any other abnormalities in behavior.

The behavioral study

The rats in a proper environment of regular temperature (23±1), light, food, water, a regular cleaning schedule, and suitable space were managed. For the experimental observation, an experimental box (50×50×40 cm) was used (13) . The rats were transported to an open-field arena of the box. The recording behaviors started after the rats freely explored the box for 10 minutes. After finishing the recording behavior of each group, the experimental box was cleaned with Ethyl alcohol (70%) for the next group (14) . Before the main experiment started, an ethogram was created by the evaluation of the behavioral component of the rats as a pre-experimental period for three days (table 1). Furthermore, the observers increased their observation accuracy for the main study after performing the pre-experimental period. To collect the data, during the study, the scan sampling method was used at one-minute intervals for twenty-eight hours on fourteen consecutive days, morning one hour and evening one hour (each group 24 min per day) (15) . The time effect on the behaviors was also evaluated. The 14 days were divided over five different times, including time 1: 0-2 days, time 2: 3-5 days, time 3: 6-8 days, time 4: 9-11 days, and time 5:12-14 days.

Behaviour Definition
Walking Rats walk in the box and sniff the provided area
Rearing Rats stand on their hind legs to look.
Front paw licking Rat licks fore paws after standing on the hind legs.
Hind Paw licking Rat grasps legs by the hands and licks the paws.
Face grooming Rat rubs their face with their hands.
Body grooming Rat uses hand, leg, mouth, tongue, and incisors to groom the body and fur
Climbing The rat uses its hands and legs to climb in the provided environment.
Immobile sniffing Rat stands on limbs and starts sniffing the environment.
Immobility Rat remains in an immovable posture.
Table 1.Ethogram of rat's behavior recorded in experimental box.

Statistical analysis

The recorded data were transferred to Microsoft Excel Spreadsheet to be analyzed. IBM SPSS Statistics 24.0 and GenStat Software Program (18th edition, VSN International Ltd, UK) analyzed the parametric data. The variances in the effect of different doses of L. serriola on the behavior of rats were found by One-way ANOVA with ' 'Tukey's HSD post hoc test (16). The effect of time on the 'rats' behavior was found by Two-way repeated measure ANOVA followed by Tukey's HSD post hoc test. Significant differences were considered at P≤0.05.

Results

Effect of L. serriola on the behavioral parameters:

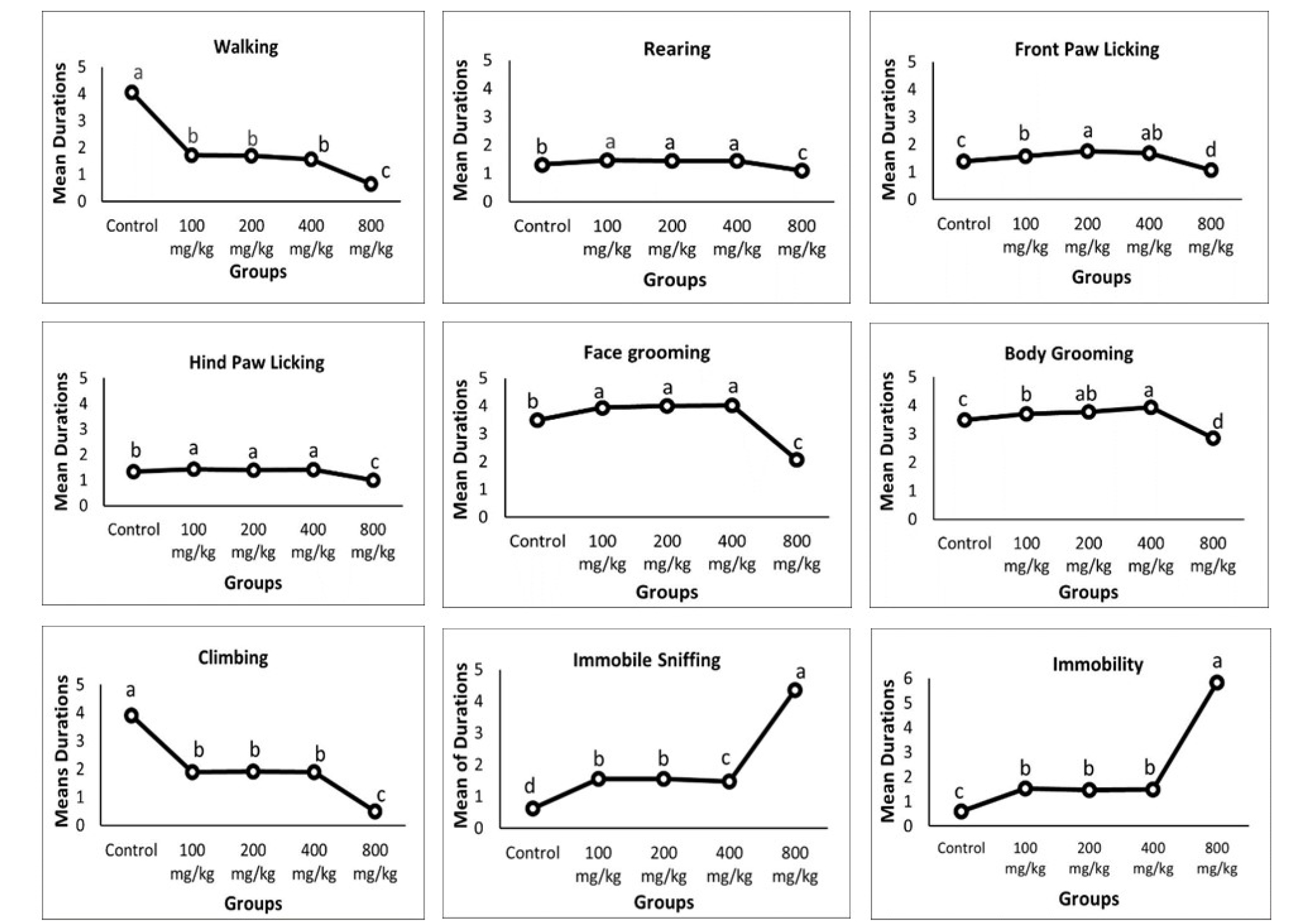
The effect of L. serriola on the behavior components of the rats is illustrated in Figure 1. All behaviors were affected by the selected dosages of L. serriola. All doses displayed significant change compared to the control group (P≤0.05). The rearing, front, and hind paws with face and body grooming behaviors were significantly (P≤0.05) increased by the dosages of 100, 200, and 400 mg/kg b. w., while walking and climbing behaviors were significantly (P≤0.5) decreased by the same dosages compared to the saline group.

Figure 1.Duration of means of behavioral component affected by various doses of L. serriola. Different letters of a, b, c, and d indicate statistical differences by ' 'Tukey's HSD post hoc test (P≤0.05) applied after one-way ANOVA.

The immobile sniffing and immobility behaviors were significantly (P≤0.05) increased by 800 mg/kg b dose. w., on the contrary, the walking, rearing, climbing, front and hind paws, face, and body grooming behaviors were significantly (P≤0.05) decreased by the same dose compared to the control group.

Additionally, in terms of the 'dosages' effect of L. serriola on the behavioral component, similar effects, and various efficacy levels were also seen among the doses.

Impact of L. serriola on behaviors by time

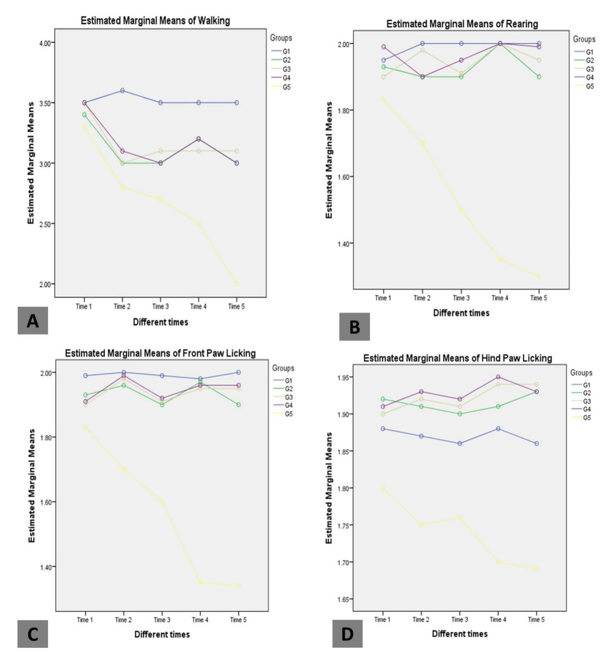
The G2, G3, and G4 rats showed a non-significantly reduction in walking behavior (Figure 2A) compared to G1 in time 1. In contrast, in time 2, 3, 4, and 5 displayed a significant decrease vs. G1, and they were not the difference between themselves. In addition, G5 illustrated a significant reduction in walking behavior compared to other groups at all times.

Figure 2.Impact of various doses of L. serriola on the mean duration of each behavior related to time: A: Walking, B: Rearing, C: Front paw linking, and D: Hind paw linking.

Regarding the frequency of rearing (Figure 2B) and front paw licking (Figure 2B), for the rats of the plant treatment groups of G2, G3, and G4, the results showed that the behaviors were similar to the control group at all times. The behaviors in rats of G5 were different and decreased by the times compared to other groups.

The rats in G2 and G3 showed similar hind paw-licking behavior (Figure 2D) compared to G1 during the experimental period, while the rats of G4 were less active in performing the same behavior. Furthermore, the rats of group G5 displayed a significant (P≤0.05) difference compared to other groups and decreased over time.

Regarding the frequency of face grooming behavior (Figure 3A), all groups showed nearly the same frequency behavior in time 1. The 'rats' face grooming of G2 and G3 increased and parallel to the control group in time 2, 3, 4, and 5, while the behavior of G4 remained steady during all the times. The rats of G5 started a significant (P≤0.05) decrease in performing face grooming over time.

In terms of showing body grooming behavior (Figure 3B), the rats of G2 and G3 exhibited similar frequency as G1. In contrast, the rats of G4 displayed a significant (P≤0.05) difference compared to G1 and remained on the same frequency during all the times. The rats of G5 demonstrated a sharp decrease in exhibiting body grooming behavior over time.

Regarding the frequency of climbing behavior (Figure 3C), the rats of G2, G3, and G4 showed significant (P≤0.05) differences compared to G1 and G5, while they remained within the same frequency over time. In addition, the rats of G5 significantly (P≤0.05) reduced in showing climbing behavior compared to other groups.

In terms of immobile sniffing (Figure 3D) and immobility (Figure 3E), the results displayed that the rats of G2, G3, G4, and G5 significantly (P≤0.05) increased these behaviors compared to the rats of the saline group. However, there was no variance between the groups of G2, G3, and G4 at all times. Furthermore, the fluctuation was not seen in exhibiting the behaviors by the times.

Figure 3.Influence of various doses of L. serriola on the mean duration of each behavior related to time; A: Face grooming, B: Body grooming, C: Climbing, D: Immobile sniffing, and E: Immobility.

Discussion

The use of plant extracts to introduce therapeutic approaches has dramatically increased. Such extracts are usually tested on rats and mice to assess and detect their toxicological effects. Previous studies (14-17) elucidated that plant extracts have toxic effects on animals, including welfare and behaviors. Therefore, for those purposes, this experiment was performed to estimate the toxic effect of Lactuca serriola L. on the behavior of rats.

Regarding the behavioral component of rats affected by the dosage of L. serriola. The current study findings illustrated that 100, 200, and 400 mg/kg b doses. w. decreased walking and climbing behaviors, which means L. serriola decreased the rats' stress. These results agree with the prior findings that stated that L. serriola works as an anti-stress factor, and they displayed that in rats, it is 200 mg/kg b. w. of L. serriola decreased climbing and running behaviors (18). Furthermore, in mice, dosages of 100, 200, and 400 mg/kg b were used. w. of hydroalcoholic Lactuca extract showed anxiolytic properties (19). Feeling well-being, expressing natural and positive behaviors, regular sleeping, feeding, grooming, rearing, paws licking, climbing, and walking belong to the anxiolytic properties. Accordingly, this research aligns with the current study results, which demonstrated that dosages of 100, 200, and 400 mg/kg b. w. of the plant extract provides better welfare and behaviors in rats.

Moreover, in the current study, the plant extract was used in a dosage of 800 mg/kg b. w. increased the immobile sniffing and immobility behaviors, the rats sometimes were reluctant to move, and they showed more desire to sleep. These findings agree with the results of Hosseini et al., who noted that L. serriola at high doses in mice increased sleeping time and immobility behaviors compared to diazepam (20). Generally, according to the literature, the dosages are 50 to 400 mg/kg b. w. of L. serriola in rats improved neurobehavior activities (17,21-24). So far, no study disagrees with our study findings.

Regarding the time effects on behavioral components, the rats of G2, G3, and G4 expressed their behaviors normally. In addition, the rearing, front and paw licking, face and body grooming behaviors increased by the times in G2, G3, and G4. On the other hand, walking, climbing, immobile sniffing, and immobility were reduced, fluctuated, and remaining steady respectively in the same time. These discoveries answer the researchers' 100, 200, and 400 mg/kg b doses. w. of L. serriola improves the behavioral component of rats over time by providing better mood and welfare. Moreover, the current study results are similar to the outcomes of the Harsha et al. study, which demonstrated that mice spent more time in open-arm apparatus tests and expressed their normal behavioral activities instead of immobility or hiding after administering 200 and 400 mg/kg b. w. of Lactuca extract (25).

Additionally, all behaviors in G5 were changed and sharply reduced except immobile sniffing, and immobility was increased over time. This behavior alteration may be caused by the extract toxic effect at a dose of 800 mg/kg b. w. on ' 'organs and systems, especially the nervous system. This was proven by the previous study, which demonstrated that a high dose of Lactuca extract in rodents leads to toxicity and recorded the dose of 4.8g/kg b. w. as a lethal dose for Lactuca (26).

Generally, according to the current study findings, L. serriola is at a dosage of 100, 200, and 400 mg/kg b. w. are safe to administrate and improve rats' feeling and natural behaviors without toxic effects. In contrast, the same extract at 800 mg/kg b is used. w. can leave a bad impression on the rats, which increases with time.

Conclusions

The findings showed that the administration of Lactuca serriola L. extract orally was done at dosages of 100, 200, and 400 mg/kg b. w. for fourteen days was harmless for rats. It was not linked to abnormal behavior changes, or locomotor activity. In contrast, the 800 mg/kg b. w. dose was linked to marked damaging effects of CNS, which were estimated via welfare and behavioral components.

Acknowledgments

University of Sulaimania and International Qaiwan University provided financial support for this paper.

Conflicts of interest

The authors declare that there is no conflict of interest.

Ethical Clearance

This work is approved by The Research Ethical Committee.

References

  1. Auditeau, E., Chassagne, F., Bourdy G, Bounlu, M., Jost, J., Luna, J. (2019). Herbal medicine for epilepsy seizures in Asia, Africa and Latin America: A systematic review. Journal of ethnopharmacology. 234,119-153. DOI: 10.1016/j.jep.2018.12.049..
  2. Wallace, T. C., Bailey, R. L., Blumberg, J. B., Burton, F. B., Chen, C. O. (2020). Fruits, vegetables, and health: A comprehensive narrative, umbrella review of the science and recommendations for enhanced public policy to improve intake. Critical reviews in food science and nutrition. 60, 2174-2211. DOI: 10.1080/10408398.2019.1632258..
  3. Mohammed, S. M., Ibrahim, M. N., & Ahmed, M. O.(2019). Physiological and histological effects of broccoli on lead acetate induced hepatotoxicity in young male albino rats. The Iraqi Journal of Veterinary Sciences. 33, 21-26. DOI: 10.33899/ijvs.2019.125528.1050..
  4. Abbasa, M. I., Jawad, Z. J. (2023).Hepatoprotective Effect of Alcoholic Extract of Ficus carica Leaves Against Cypermethrin-Induced Liver Toxicity in Male Albino Rats. The Iraqi Journal of Veterinary Medicine. 47(2), 64-72. DOI: 10.30539/ijvm.v47i2.1601..
  5. Shukurlu, E. N., & Goger, F. (2021). Investigation of chemical components extracted from the aerial parts of Lactuca serriola L. by liquid chromatography–mass spectrometric method. Plant Fungal Research. 4, 50-55. DOI: 10.30546/2664-5297.2021.4.2.6..
  6. Dogan, Y., Baslar, S., Ay, G., Mert, H. H. (2004).The use of wild edible plants in western and central Anatolia (Turkey). Economic botany. 58, 684-690. DOI: 10.1663/0013-0001(2004)058[0684:TUOWEP]2.0.CO;2..
  7. Elsharkawy, E., & Alshathly, M. (2013). Anticancer activity of Lactuca steriolla growing under dry desert condition of Northern Region in Saudi Arabia. Journal of Natural Science. 3, 5-18. DOI: 1010.30236/0204-2010.2001.06..
  8. El-Esawi, M. A., Elkelish, A., & Elansary, H. O. (2017). Genetic Transformation and Hairy Root Induction Enhance the Antioxidant Potential of Lactuca serriola L. Oxidative Medicine Cellular Longevity. 5604746. DOI: 10.1155/2017/5604746..
  9. Yadava, R., & Jharbade, J. (2008). New antibacterial triterpenoid saponin from Lactuca scariola. Fitoterapia. 79, 245-249. DOI: 10.1016/j.fitote.2007.11.028..
  10. Mohammad, A. (2013). Traditional use of kahu (Lactuca scariola L.)-a review, Global Journal of Research on Medicinal Plants and Indigenous Medicine. 2, 465. DOI: 1010.1014/.2009.101.100248..
  11. Leila, J., Ghassem, H., & Hamide, S. (2011). Introduction the medicinal species of Asteraceae family in Ilkhji and Sharafaldin regions of Esat Azarbaijan in Iran. Journal of American Science. 7, 455-458. DOI: 10.1014/.2005.10.028..
  12. Tofiq, M., Salih, M., Kaka, R. N., Ali, R., Snur, M. H. (2024). Assessment of Toxicological Effect of Lactuca serriola L. in Sprague-Dawley Rat. Egyptian Journal of Veterinary Sciences, 1-13. https://doi.org/10.21608/ejvs.2024.300225.2209..
  13. Lipták, N., Dochnal, R., Csabafi, K., Szakács J., Szabó, G. (2014). Obestatin prevents analgesic tolerance to morphine and reverses the effects of mild morphine withdrawal in mice. Regulatory Peptides. 186, 77-82. DOI: 10.1016/j.regpep.2013.07.006..
  14. Casarrubea M, Sorbera F, Crescimanno G. (2009). Structure of rat behavior in hole-board: I) multivariate analysis of response to anxiety. Physiological Behavior.; 96(1):174-179. DOI: 10.1016/j.physbeh.2008.09.025..
  15. Lehner, P. N. (1992). Sampling methods in behavior research. Poultry Science. 71(4), 643-649. DOI: 10.3382/ps.0710643..
  16. Casarrubea, M., Faulisi, F., Pensabene, M., Mendola, C., Dell'Utri, R., Cardaci, M., Crescimanno, G. (2017). Effects of the benzodiazepine inverse agonist FG7142 on the structure of anxiety-related behavior of male Wistar rats tested in hole board. Psychopharmacology. 234, 381-391. DOI: 10.1007/s00213-016-4474-8. ADDIN EN.REFLIST.
  17. Leal-Silva, T., Souza, M. R., Cruz, L. L. (2023). Toxicological effects of the Morinda citrifolia L. fruit extract on maternal reproduction and fetal development in rats. Drug and Chemical Toxicology. 46(3), 609-615. DOI: 10.1080/01480545.2022.2070197..
  18. Roshanai, L., Kambiz, M., Maryam, K., & Ali, P. F. K. (2015). Effect of hydroalcoholic extract of Lactuca Serriola on plasma levels of cortisol in immobilization stress in rats. Drug and Chemical Toxicology. 46(3), 9-15. DOI: 10.1001/02689521.2020.2010107]..
  19. Teixeira, T. M., Boeff, D. D., de Oliveira, C. L., Ritter, M. R., Konrath, E. L. (2024). The traditional use of native Brazilian plants for male sexual dysfunction: Evidence from ethnomedicinal applications, animal models, and possible mechanisms of action. Journal of Ethnopharmacology. 318(Pt A), 116876. DOI: 10.1016/j.jep.2023.116876..
  20. Hosseini, A., Ghorbani A., Sadeghnia R., Rajabian A., Rakhshandeh H. (2014). Potentiating effects of Lactuca serriola on pentobarbital-induced sleep. Research Opinions In Animal and Veterinary Sciences. 2223-0343. DOI: 10.5555/20153219763..
  21. Saleem, S., Anwar, F., & Khan, A. (2023). Toxicity profiling of Burgmansia aurea Lagerh. Leaves using acute and sub-acute toxicity studies in rats. Journal of Ethnopharmacology. .311, 116447. DOI: 10.1016/j.jep.2023.116447..
  22. Balkrishna, A., Sinha, S., & Varshney, A. (2023). 28-day repeated dose toxicological evaluation of Coronil in Sprague Dawley rats: Behavioral, hematological, biochemical and histopathological assessments under GLP compliance. Drug and Chemical Toxicology. 46(2), 343-356. DOI: 10.1080/01480545.2022.2036183..
  23. Ullah, M. I., Anwar, R., Kamran, S., Gul, B., Elhady, S. S. (2022). Evaluation of the anxiolytic and Anti-Epileptogenic potential of Lactuca serriola seed using Pentylenetetrazol-Induced kindling in mice and metabolic profiling of its bioactive extract. Antioxidants. 11(11), 2232. DOI: 10.3390/antiox11112232..
  24. Ilgün, S., Akkol, E. K., Ilhan, M. (2020). Sedative Effects of Latexes Obtained from Some Lactuca L. Species Growing in Turkey. Molecules. 25(7), 1587. DOI: 10.3390/molecules25071587..
  25. Harsha, S. N., & Anilakumar, K. R. (2012). Effects of Lactuca sativa extract on exploratory behavior pattern, locomotor activity and anxiety in mice. Asian Pacific Journal of Tropical Disease. 2, S475-S479. DOI: 10.1016/S2222-1808(12)60206-0..
  26. Ghorbani, A., Rakhshandeh, H., & Sadeghnia, H. R. (2013). Potentiating Effects of Lactuca sativa on Pentobarbital-Induced Sleep. Iranian Journal of Pharmacological Research. 12(2), 401-406. DOI: 10.22037/ijpr.2013.1316..