Document Type : Research Paper

Author

Al- Nahrin University

Abstract

This study aims to use FTIR spectroscopy to analyze the chemical composition and quality of fish tissue samples obtained from the Iraqi market. FTIR spectroscopy is a method that uses infrared light to measure how the molecules in a sample vibrate, and produces a graph called an infrared spectrum that shows the peaks of different functional groups in the sample. The study focuses on four peaks in the infrared spectrum of fish tissue samples, which are from amide I, aliphatic chains, and ester groups, which are part of proteins and lipids in fish tissue. The study also calculates the intensity and ratio of these peaks, which indicate the concentration and quality of these functional groups in the sample. The study describes how to collect, store, prepare, and measure the fish tissue samples using FTIR spectroscopy, and how to identify and calculate the intensity and ratio of the peaks using formulas and software. The study aims to provide useful information about the chemical composition and quality of fish tissue samples sold in Iraq. The study concludes that the intensity and ratio of the alkanes peaks can indicate the spoilage and shelf life of fish products, as well as their ripeness and senescence.

Keywords

Article Title [العربیة]

Monitoring Chemical Changes in Fish Products During Storage: A Study on Spoilage Degree and Shelf Life in Iraqi Market by using FTIR

Keywords [العربیة]

  • Chemical
  • Changes
  • in Fish

Introduction

Spectroscopy is used to detect chemical bonds by the absorption of infrared radiation, and the FTIR method records the resulting spectrum of a sample based on a high- resolution infrared spectrum for a broad spectral range in connection with absorbing or radiating a gas, liquid, or solid ( 1 , 2 ). The technique is based on improving the recorded spectra through a series of mathematical operations known as the Fourier transform of the data to obtain the final spectrum ( 3 ). This technique is also one that comes with several advantages over different techniques; usually, sensitivity, speed, flexibility, and nondestructive analysis are involved ( 4 ). It faces challenges such as atmospheric interference from water vapor and carbon dioxide, the complexity of data interpretation, and a low signal-to-noise ratio due to weakly absorbing or reflecting samples ( 5 ).IR spectroscopy has been employed in various fields, among them geoarchaeology, material science, environmental science, and biomedical science ( 6 - 8 ). FTIR spectroscopy could be employed for detecting fish lipid profiles and content, a basic requirement for bioaccumulation research ( 9 ). The deposition of substances through the tissues of aquatic organisms is largely determined by their lipid contents, which vary intra-specifically and inter-specifically and among size categories. On fish/tissue samples, the total lipids must be efficiently extracted using suitable methods in order to be able to normalize the BCF results for the lipid content. Although several lipid extraction techniques exist, none can guarantee complete extraction of lipids from fish samples. The correctness of BCF normalisation will be a function of the choice of extraction method ( 10 ). FTIR Spectroscopy and Chemometrics may find applications in food analysis for various objectives like detection of adulteration and chemical compositional changes ( 11 ). FTIR spectroscopy can identify and quantify an adulterant's the deliberate or accidental addition of foreign substances to food products, thereby impacting their sensory quality and the safety and value of the food sample. in food samples by comparing their spectra with those of pure or authentic samples ( 12 ). Chemometrics can assist in the identification and quantification of adulteration in food using PCA, DA, PLS, and ANN methods. Adulteration has been reported mostly in real-time applications where FTIR and chemometrics were used, for instance, adulteration of meatballs, honey, milk, oil, or tea ( 13 ). FTIR spectroscopy controls the chemical dynamics and molecular configuration of the stored foodstuffs, such as protein degradation, lipid oxidation, carbohydrate hydrolysis, and moisture loss ( 14;15 ). Chemometrics, the measurement of the degree of spoilage and shelf life of food products by multivariate calibration, cluster analysis, regression analysis, and classification analysis. FTIR spectroscopy and chemometrics have been used in monitoring the spoilage and shelf life of meat, cheese, fruits, vegetables, and fish ( 16 - 18 ). Moreover, FTIR can measure the dynamics of nominal changes in the chemical cost of food products subjected to processing, cooking, heating, freezing; drying, fermentation, or extraction ( 19;20 ). FTIR identifies changes in the chemical composition of food products due to processing, cooking, heating, freezing, drying, fermentation, or extraction. ( Such an approach can define, using techniques such as spectral preprocessing, variable selection, factor analysis, and MCR multivariate chemometric methods, the changes in food chemical composition due to FTIR spectroscopy and chemometrics for beta- glucan, starch, protein, oil phenolic compounds, and antioxidant content are reported ( 21 - 22 ). Hence, Chemical composition and structure changes of food products occur during storage; protein degradation, lipid oxidation, carbohydrate hydrolysis, and moisture evaporation are some of the changes that may take place( 23 - 25 ). Objective: Monitoring these changes will help find the extent to which the fish has decayed and how long it is likely to stay fresh in the market in Iraq.

Material and Methods

Fish samples have been purchased from the Iraqi local fish market. From each fish muscle tissue sample, small bits have been chopped with scissors and kept in a well- wetted condition at room temperature up to the period of analysis. Ice packs can be used to keep these samples chilled. Dried, ground, dissolved, and pressed fish samples were made ready for FTIR analysis ( 26;27 ). Notably, for attenuated total reflection (ATR) FTIR, one has to place the sample directly on the crystal surface. In each measurement, one good practice is to save the spectrum of each fish sample right after it is measured, in order that any interference from the environment can be noted, and due to which one can get broader insight into the chemical nature and quality of the fish being emphasized. FTIR – a spectroscopic technique to determine which chemicals are within the tissue of fish. Here, infrared light is passed through the sample that is vibrating due to its molecular bonds. Since each molecular bond vibrational frequency, and therefore speed, the resulting peaks seen on the infrared spectrum will correspond specifically to the four peaks in the infrared spectrum of fish tissue. Amide I: Cellular proteins are primarily involved in cellular structure and function. The peak at 3282.84 cm-1 shows how the amide I N-H and C=O bonds are vibrating. Aliphatic chains: These chains of carbon and hydrogen, attached in the lipid molecules forming the cell membrane essential for cellular functions, have the peak values at 2920.23 cm-1 and 2850.79 cm-1 as they show the vibrations of C-H bonds in aliphatic chains. Ester groups: Lipid molecules forming cell membranes have their respective ester groups; the peak at 1743.65 cm-1 explains this about how it vibrates due to C=O bond in it.

The infrared spectrum is taken, from which the intensity and hence the ratio of ester peaks can be calculated. A peak characteristic of esters is found in the infrared spectrum. The C=O stretching vibration of the ester group typically gives rise to a very intense, sharp peak at 1700-1750 cm-1. The actual position within this range may vary somewhat with the structure or environment of the ester group measured. Calculate the total area under peaks in an infrared spectrum. This signifies the total quantity of infrared light absorbed or emitted by the sample. matlab software or a ruler is used to measure this total area in arbitrary units. From an infrared spectrum, therefore, the amide I and carbonyl group peaks' intensity can be calculated, as well as their ratio. Ratio = (peak size at 3282 cm-1 / peak size at 1650 cm-1) Esters to aliphatic chains (long chains of carbon and hydrogen atoms) within a sample are counted and the ratio is computed with this formula: Ratio = (peak area at 1740 cm-1 / peak area at 2920 cm-1) For alkanes peaks, Ratio = (peak area at 2920.23 cm-1 / peak area at 2850.79 cm-1) The total area is the sum of all peak areas in the given spectrum, signifying the total amount of infrared light absorbed or emitted by all functional groups in the sample. The Statistical Packages of Social Sciences-SPSS ( 28 ) program was used to detect the effect of different groups/samples in study parameters. Least Significant Difference was used to significantly compare between means in this study.

Results

Fish tissue chemical composition can be effectively analyzed and quantified using FTIR or Fourier-transform infrared spectroscopy. FTIR spectroscopy measures the infrared light transmission/ absorption of a sample to determine the functional groups present in the sample figure 1. The fish tissue's infrared spectrum manifests certain peaks that have to do with the protein and lipid content of the fish tissue sample. The peak at 3282.84 cm-1 comes from amide I as a result of the N-H stretching vibrationinvolving the amide group within the protein molecules. Such kinds of vibrations present in amide bonds identify the presence of proteins and polypeptides. Amide I is a combination of a C=O bond and an N-H bond; therefore, its stretching vibration corresponds to both bonds' contribution. The peaks at 2920.23 cm-1 and 2850.79 cm-1 are attributed to the asymmetric and symmetric stretching vibrations of aliphatic chains of lipid molecules. Lipids are a group of biomolecules that contribute to the construction and operations of cell membranes. They have one hydrophilic head but bear a hydrophobic tail that stretches along with a long chain of hydrocarbons. Aliphatic chains stretching vibrations of C-H are distinguished characteristics of lipids in the infrared spectrum; A peak at 2299.15 cm- 1, due to the C-N stretching vibration of the aliphatic chains in lipid molecules.

Figure 1.FTIR spectroscopy spectra of functional groups present in fish tissue samples (1: green; 2: blue; 3: orange; 4: black; 5: purple; 6: red).

An infrared spectrum peak intensity of functional groups presents in fish tissue samples.

Changes in the dipole moment of a molecule as it vibrates with the intensity of an infrared peak in a spectrum are directly correlated: the more drastic the change in dipole moment, the stronger the corresponding peak will be. Peak intensity ratios provide a way to glean information about what kinds of functional groups might be hanging out in our fish tissue (table 1 ). There are two peaks around 3282.84 cm-1 (Fig .2) and 1650 cm-1, which represent the stretching vibrations of N-H and C=O of amide I, a functional group found in proteins. Definitely, more dipole moment shift for N-H vibration as compared to C=O vibration because it's evident that there's more amide I in the sample than other molecules that absorb at 1650 cm-1. From Table 1 , sample 6 of fish tissues from the market is seen to exhibit maximum intensity and ratio of carbonyl peaks. Thus, it holds the highest concentration and hydrogen bonding of amide I. Sample 1 shows the lowest intensity and ratio of carbonyl peaks. It has the lowest concentration and hydrogen bonding of amide I. The other fish tissue samples (samples 2, 3, 4, and 5) show intermediate values of intensity and ratios. This shows that they have different concentrations and hydrogen bonding ofamide I ; Intensity and ratio value are different from each other, which could be caused by several factors: type, source, and processing of the fish tissue samples; species may have different protein compositions and structures, which may vary in their amount and hydrogen bonding of amide I. Furthermore, different modes of preservation, storage, and preparation of fish tissue samples would change the protein structures and interactions, which would vary the vibration frequencies and intensities of amide I.

Samples Aliphatic Chains (2850.79 cm-1) Aliphatic Chains (2920.23 cm-1) Amide I (3282.84 cm-1) Ester Groups (1743.65 cm-1) Ratio Alkanes Ratio Esters to Aliphatic Chains Ratio Amide I to 1650 cm-1
Fish 1 0.8954±0.02 0.9691±0.05 1.3134±0.05 a 0.7754±0.03 1.0824±0.05 0.8001±0.05 a 0.796±0.03 a
Fish 2 0.9284±0.01 0.9236±0.03 1.2309±0.05 ab 0.7466±0.01 0.9948±0.03 0.8084±0.04 a 0.746±0.04 ab
Fish 3 0.9151±0.04 0.9569±0.05 1.328±0.02 a 0.7271±0.05 1.0457±0.04 0.7599±0.01 ab 0.8048±0.04 a
Fish 4 0.9079±0.05 0.9414±0.05 1.2069±0.03 b 0.7462±0.05 1.0368±0.03 0.7927±0.04 ab 0.7314±0.04 b
Fish 5 0.9284±0.02 1.004±0.01 1.2401±0.03 ab 0.7782±0.04 1.0814±0.02 0.7752±0.01 ab 0.7516±0.03 ab
Fish 6 0.9025±0.03 0.9257±0.04 1.1923±0.01 b 0.7509±0.02 1.0257±0.03 0.8111±0.04 a 0.7226±0.02 b
L.S.D 0.077 NS 0.0892 NS 0.106 * 0.0694 NS 0.159 NS 0.0439 * 0.0542 *
(P-value) (0.279) (0.096) (0.042) (0.251) (0.366) (0.0371) (0.0376)
Means having the different letters in the same column differed significantly. * (P≤0.05).
Table 1.The Mean ± SD column shows the average value and standard deviation for each fish sample

Figure 2.Comparison between difference samples in Amide I (3282.84 cm-1)

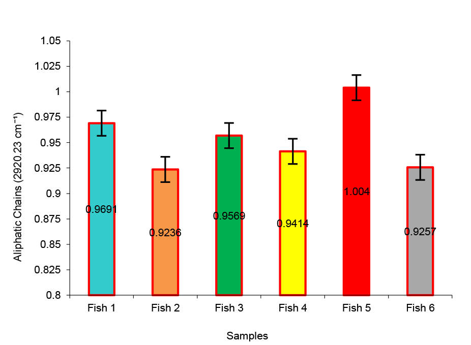
Figure 3. Comparison between difference samples in Aliphatic Chains (2920.23 cm-1)

Figure 4.Comparison between difference samples in Aliphatic Chains (2850.79 cm-1)

The intensity of the peak at 1740 cm-1 is representative of the intensity of the carbonyl group to measure lipid oxidation and the rancidity level of the oil. This implies that the higher the intensity of the peak, the higher would be the concentration and polarity of the Ester, thus a more intact and stable lipid structure, and vice versa for lower intensity. The lower the intensity of this peak, the lower the concentration and polarity of Ester (Fig .5), and the higher the damage to lipid structure. The intensity of this carbonyl band at 1740 cm-1 in an IR spectrum indicates the abundance and status of ester groups in food products. Ester groups are types of bonds present in lipids, other critical food components responsible for energy, flavor, and texture. Ester bond has a strong infrared absorption for this group Therefore, one can estimate this intensity. This effect will be tested for the possibility of determining the extent of spoilage and shelf life of fish tissue with respect to the level of lipid oxidation and rancidity in food products. Lipid oxidation is an oxidative chemical reaction where lipids potentially cooperate with oxygen to form many compounds, inclusive of aldehydes, ketones, and acids, as well as others. Lipid oxidation leads to a stale taste, foul smell, discoloration, and the diminishing of nutrients in foodstuffs. This work thus recorded wording from 22-26 that relates to rancidity as disagreeable sensory attributes stemming from lipid oxidation. A greater measure of carbonyl esters was identified in samples six and three of carbonyl's absorption at 1740 cm-1, indicating greater bonds present in the food product with the fatstructure. A less intense carbonyl peak at 1740 cm-1 in the fish samples 1 and 2 would mean fewer ester groups in the food product, implying that the lipid structure is more broken and unstable. Thus, some information can be received about the spoilage and shelf life of food products by the measurement of the intensity of the carbonyl peak at 1740 cm- 1.

Figure 5.Comparison between difference samples in Ester Groups (1743.65 cm-1)

The carbonyl band expresses the respective concentration and quality of carbonyl compounds existing in food, among which amide I and ester are worthy of mentioning which have been derived from proteins and lipids. Foodstuffs embody proteins and lipids, which are the major types of biomolecules that determine the nutritional and sensory attributes of a given food product. Generally, the higher the intensity and ratio of carbonyl peak, the less degraded and more stable these proteins and lipids will be. The lower the intensity and ratio of carbonyl peak, the more degraded and unstable they are (Fig .6, 7, 8).

Figure 6.Comparison between difference samples in Ratio Amide I to 1650 cm-1

Figure 8. Comparison between difference samples in Ratio Alkanes

Figure 7. Comparison between difference samples in Ratio Esters to Aliphatic Chains

Discussion

The intensity of the carbonyl peaks at 3282 and 1650 cm-1 does depend on the quantity of amide I in the samples. The ratio of these peaks may reflect the relative tensile strength of hydrogen bonding among the amide groups and hence the conformation and stability of the proteins ( 29 , 30 ). Lipids are the biomolecules that play an important role in the structures as well as functions of cellular membranes. These heads are attracted to water, whereas their tails are repelled by it, consisting of a long chain of carbons and hydrogens. Aliphatic chains stretching vibrations of C-N are also characteristic of lipids in the infrared spectrum; A peak at 1743.65 cm-1, due to the C=O stretching vibration of the ester groups in lipid molecules. Lipids are the biomolecules that play some crucial role in the structure and function of cellular membranes. Having a hydrophilic head and hydrophobic tail consisting of a long hydrocarbon chain is comprised of ester groups formed from the corresponding fatty acids and glycerol reaction, whereas the most characteristic infrared feature of lipids is its C=O stretching vibration.

Tertiary C–H bonds have lower bond polarity and steric hindrance compared to primary C– H bonds, resulting in reduced dipole moment as well as a reduced interaction with infrared light. The more intense and the proportion of carbonyl peaks to alkanes absorbance should be in agreement with the number and kind of C-H bonds in the alkane present in the samples, as mentioned earlier in my response interpretation. The numeric values express what portion of all IR radiation absorbed or emitted by the sample is associated with C-H bonds. So, the more numerous these bonds are, the more this reading will be affected. The highest content of alkane C-H bonds is observed in sample 4, representing 23 %. Sample 6 presents the lowest; thus, it represents the least content of alkane C-H bonds within the sample. Samples 1, 2, 3, and 5 take interposition positions by percentage, implying differing content levels of alkane C-H bonds within the sample. Variations in percentage could be because of the different types, origin, and handling of the samples. Various alkanes might have various C-H bond numbers and arrangements, which will influence their absorption or emission of infrared light. The intensity of the alkane's peaks would indicate the extent of spoilage and shelf life of food products, since it represents the quantity as well as the quality of alkanes present in food. Alkanes form quite regularly when lipids, proteins, and carbohydrates in food are hydrogenated, cracked, or pyrolyzed. These processes might be indicating spoilage or deterioration of foodstuffs through drastic changes in flavor, scent, color, texture, as well as their nutritional content. A similar application may also be obtained with reference to the alkane peak intensity and the maturity degree of fish sold in Iraq. Increased senescence or ripening in fish may be indicated by increased alkane peak intensities in samples like sample 3 and sample 4.

Nevertheless, the intensity and ratio of the carbonyl peak can be influenced by other factors, such as sample preparation and instrument settings; thus, it is mandatory to apply a uniform method as well as calibration during the operation of infrared spectroscopy. The carbonyl peak is very helpful for food and fat rancidity analysis. Food rancidity refers to lipid oxidation and the sensory changes allied with it because, as lipids oxidize with oxygen in most cases, they produce undesirable compounds in foods, a decrease in quality, and the shelf life of foods ( 26 , 27 , 32 - 35 ). The peak at 1740 cm-1 refers to the ester groups present in lipid molecules that give an indication of lipid oxidation and rancidity. A high carbonyl peak at 1740 cm-1 stands for many ester groups, as well as relatively less lipid oxidation as well as rancidity. In contrast, a low carbonyl peak at 1740 cm-1 stands for few ester groups and relatively high lipid oxidation as well as rancidity. Hence, after measuring the carbonyl peak at 1740 cm-1, we will be able to make an estimation regarding the spoilage and shelf life of food products.

Conclusion

From the above discussion, it is possible to conclude that the carbonyl peak in the food spectrum is involved in the spoilage and shelf-life determination of food products, which have been exemplified by fish tissue and vegetable oil.

Conflict of Interest

The Author declares there is no conflict of interest.

Ethical Clearance

This work is approved by The Research Ethical Committee.

References

  1. Jaggi, N., & Vij, D. (2006). Fourier transform infrared spectroscopy. In D. Vij (Ed.), Handbook of applied solid state spectroscopy (pp. 323-366). Springer. https://doi.org/10.1007/0-387-37590-2_9.DOI
  2. Ali, S., Mahmoud, Y., Matter, I., Elsamahy, T., & Darwesh, O. (2020). Nanoarmoring of enzymes with carbon nanotubes and magnetic nanoparticles. In Methods in enzymology (Vol. 639, pp. 1-22). Academic Press.
  3. Bell, R. J. (1973). Introductory Fourier transform spectroscopy. American Journal of Physics, 41(1), 149-151. https://doi.org/10.1119/1.1987334.DOI
  4. Candogan, K., Evrim, E., Gunes Altuntas, E., & İğci, N. 2021. Authentication and quality assessment of meat products by Fourier-transform infrared (FTIR) spectroscopy. Food Engineering Reviews, 13(1), 1-24. https://doi.org/10.1007/s12393-020-09251-y.DOI
  5. Fahelelbom, K. M., Saleh, A., Al-Tabakha, M. M., & Ashames, A. A. 2022. Recent applications of quantitative analytical FTIR spectroscopy in pharmaceutical, biomedical, and clinical fields: A brief review. Reviews in Analytical Chemistry, 41(1), 21-33. https://doi.org/10.1515/revac-2022-0030.DOI
  6. Kowalczuk, D., & Pitucha, M. 2018. Application of FTIR method for the assessment of immobilization of active substances in the matrix of biomedical materials. Materials, 12(18), Article 2972. https://doi.org/10.3390/ma12182972.DOI
  7. Brancaleon, L., Bamberg, M. P., Sakamaki, T., & Kollias, N. 2001. Attenuated total reflection–Fourier transform infrared spectroscopy as a possible method to investigate biophysical parameters of stratum corneum in vivo. Journal of Investigative Dermatology, 117(4), 977-983. https://doi.org/10.1046/j.0022-202x.2001.01481.x.DOI
  8. Margariti, C. 2019. The application of FTIR microspectroscopy in a non-invasive and non-destructive way to the study and conservation of mineralised excavated textiles. Heritage Science, 7(1), Article 63. https://doi.org/10.1186/s40494-019-0304-8.DOI
  9. Spiridon, I., Teaca, C.-A., & Bodirlau, R. 2011. Structural changes evidenced by FTIR spectroscopy in cellulosic materials after pre-treatment with ionic liquid and enzymatic hydrolysis. BioResources, 6(1), 400–413.
  10. Schlechtriem, C., Fliedner, A., & Schäfers, C. 2012. Determination of lipid content in fish samples from bioaccumulation studies: Contributions to the revision of guideline OECD 305. Environmental Sciences Europe, 24(1), Article 13. https://doi.org/10.1186/2190-4715-24-13 10.DOI
  11. Isaac,G., Waldebäck,M., Eriksson,U., Odham,G., & Markides,K.E. 2005. Total lipid extraction of homogenized and intact lean fish muscles using pressurized fluid extraction and batch extraction techniques. Journal of Agricultural and Food Chemistry, 53(14), 5506–5512. https://doi.org/10.1021/jf0501286 13.DOI
  12. Pérez-Palacios,T., Ruiz,J., Ferreira,I.M.P.L.V.O., Petisca,C., & Antequera,T. 2012. Effect of solvent to sample ratio on total lipid extracted and fatty acid composition in meat products within different fat content. Meat Science, 91(4), 369–373. https://doi.org/10.1016/j.meatsci.2012.02.021.DOI
  13. Rohman,A., Ghazali,M.A.B., Windarsih,A., Irnawati, Riyanto,S., Yusof,F.M., & Mustafa,S. 2020. Comprehensive review on application of FTIR spectroscopy coupled with chemometrics for authentication analysis of fats and oils in the food products. Molecules, 25(22), Article 5485. https://doi.org/10.3390/molecules25225485.DOI
  14. Kharbach,M., Alaoui Mansouri,M., Taabouz,M., Yu,H. 2023. Current application of advancing spectroscopy techniques in food analysis: Data handling with chemometric approaches.Foods, 12(14), Article 2753. https://doi.org/10.3390/foods12142753.DOI
  15. Hassoun,A., Carpena,M., Prieto,M.A., Simal-Gandara,J., Özogul,F., & Özogul,Y. 2023. Chemometric analysis of Fourier transform infrared spectra for the detection of honey adulteration.Foods, 12(16), Article 3079. https://doi.org/10.3390/foods12163079.DOI
  16. Papadopoulou, O. S., Argyri, A. A., Kounani, V., Tassou, C. C., & Chorianopoulos, N. 2021. Use of Fourier transform infrared spectroscopy for monitoring the shelf life and safety of yogurts supplemented with a Lactobacillus. Frontiers in Microbiology, 12- 2021 https://doi.org/10.3389/fmicb.2021.678356.DOI
  17. Candogan, K., Gunes Altuntas, E., & İğci, N. 2020. Authentication and quality assessment of meat products by Fourier transform infrared (FTIR) spectroscopy. Food Engineering Reviews, 13(1), 1-24. https://doi.org/10.1007/s12393-020-09251-y.DOI
  18. Tumuluru, J. S. 2023. Introductory chapter: Food processing, preservation, and packaging – A brief overview. In J. S. Tumuluru (Ed.), Food processing, preservation, and packaging: An overview (pp. 1-14). IntechOpen. https://doi.org/10.5772/intechopen.110229.DOI
  19. Amit, S. K., Uddin, M. M., Rahman, R., & Islam, M. S. 2017. A review on mechanisms and commercial aspects of food preservation and processing. Agriculture & Food Security, 6(1), Article 51. https://doi.org/10.1186/s40066-017-0130-8..DOI
  20. Van der Weerd, J., Van Loon, A., & Boon, J. J. 2005. FTIR studies of the effects of pigments on the aging of oil. Studies in Conservation, 50(1), 3-22.
  21. Aryee, A. N., Van de Voort, F. R., & Simpson, B. K. 2009. FTIR determination of free fatty acids in fish oils intended for biodiesel production. Process Biochemistry, 44(4), 401-405. https://doi.org/10.1016/j.procbio.DOI
  22. Hong, J., Liu, X., Yang, X. et al 2022. Ionic liquid-based dispersive liquid–liquid microextraction followed by magnetic solid-phase extraction for determination of quinolones. Microchim Acta, 189, 8. https://doi.org/10.1007/s00604-021-05077-5.DOI
  23. Mustafa, et al. 2019. Assessment of Hydrogen Peroxide on Histopathology and Survival Rate in Common Carp, Cyprinus Carpio l.Infected With Saprolegniasis. Iraqi Journal of Agricultural Sciences, 50(5): 669. https://doi.org/10.36103/ijas.v2i50.669.DOI
  24. Al-Aboudi, H.J., Al-Rudainy, A. J& Maktoof, A.A. 2022. Accumulation Of Lead and Cadmium in Tissues of Cyprinus Carpio Collected From Cages of Al-Gharraf River /thi qar / iraq. iraqi journal of agricultural sciences,; 53 (4): 1594. https://doi.org/10.36103/ijas.v53i4.1594.DOI
  25. Alhamadany & et al. 2021. Chemical and Mineral Composition of Ten Ecomonically Important Fish Species in the Satt Al- Arab River and Iraqi Marine Water Northern West Arabian Gulf Iraqi Journal of Agricultural Sciences, 52 (3): 1353. https://doi.org/10.36103/ijas.v52i3.1353.DOI
  26. Mouhamad, Raghad & Areej, & Jafaar, Mohammed. (2020). Bacteriological contamination status and phytochemical characteristics of Al-Chibayish marsh regional plants. Dysona. Life Science. 1. 10.30493/dls.2020.220731.DOI
  27. Mouhamad, Raghad & Al-Gburi, Hind & Rasheed, Ayad & Razaq, Ibrahim & Al-Lafta, Hadi. (2019). Bioaccumulation And Biomagnification Study Of Al-Chibayish Marsh Plants, Southern Iraq. Iraqi Journal of Science. 60. 1312-1321. 10.24996/ijs.2019.60.6.15.DOI
  28. SPSS (2019). Statistical Packages of Social Sciences-SPSS/ IBM Statistics 26 step by step. 16th Edition. https://doi.org/10.4324/9780429056765.DOI
  29. Schlechtriem, C., Kampe, S., Bruckert, H.-J., et al. 2019. Bioconcentration studies with the freshwater amphipod Hyalella azteca: Are the results predictive of bioconcentration in fish? Environmental Science and Pollution Research International, 26(2), 1628–1641. https://doi.org/10.1007/s11356-018-3677-4 11.DOI
  30. Mukhametov, A., Mamayeva, L., Kazhymurat, A., Akhlan, T., & Yerbulekova, M. 2022. Study of vegetable oils and their blends using infrared reflectance spectroscopy and refractometry. Food Chemistry: X, 12, Article 101211. https://doi.org/10.1016/j.fochx.2021.101211.DOI
  31. Ceniti,C., Spina,A.A., Piras,C., Oppedisano,F., Tilocca,B., Roncada,P., Britti,D., & Morittu,V.M. 2023. Recent advances in the determination of milk adulterants and contaminants by mid-infrared spectroscopy.Foods, 12(15), Article 2917. https://doi.org/10.3390/foods12152917.DOI
  32. Al-Hani, A. .2016. Estimating Function Supply for Red Meat in Iraq for the Period 1995-2013. Iraqi Journal of Agricultural Sciences.
  33. Al-Kshab, A.A. 2023. Physiological and Histopathological Effect of Lead Chloride on Kidney of Gambusia Affinis. Iraqi Journal of Agricultural Sciences,54(6): 1858. https://doi.org/10.36103/ijas.v54i6.1858.DOI
  34. Alobaidy, E.A.& Jbara, O.K. 2021. Production Risk Analysis of Fish Farming Projects in Fish Ponds and Floating Cages a case study in diyala governorate. Iraqi Journal of Agricultural Sciences, 52(2):1301. https://doi.org/10.36103/ijas.v52i2.1301.DOI
  35. Karim, N.Y.& Alkhshali, M. S. 2024. Evaluation of Sensory Characteristics of Some Atlantic Salmon Products Imported to Iraq. Iraqi Journal of Agricultural Sciences, 54(5):659- 664. https://doi.org/10.36103/0n7wcs58.DOI